高度記録の確認
高度記録の確認モードでは、高度計測で記録した手動記録/自動記録のデータを見ることができます。
記録したデータを見る
-
高度記録の確認モードにします。
-
AボタンまたはCボタンを押して、表示するデータを切り替えます。
高度計測モードで記録したデータの1つが表示されます。
AまたはCボタンを押し続けると早送りできます。

手動記録データは、ボタンを押すごとに1([-01-])から最大で14([-14-])まで選ぶことができます。
参考
データ消去後やエラーなどでデータがない場合は、[- - - -]または[0]が表示されます。
積算上昇高度(ASC)または積算下降高度(DSC)が99,999m を超えると、0 から積算します。
Dボタンを押すと、表示しているデータの最初の表示に戻ります。
手動記録データの表示
手動記録データ(01~14)を選ぶと、以下のように表示が切り替わります。
例:手動記録データ01

自動記録データの表示
自動記録データを選ぶと、以下のように表示が切り替わります。
最高高度、最低高度の場合
例:最高高度

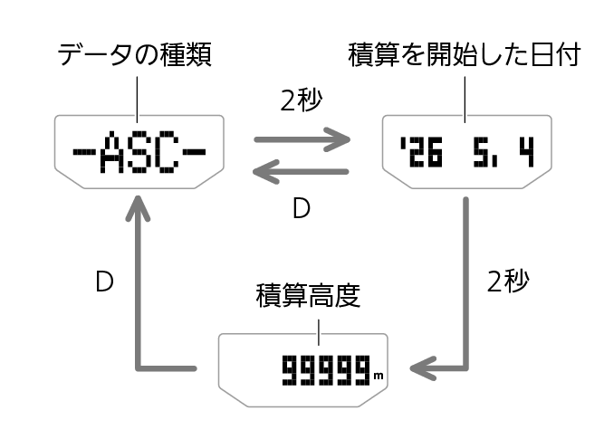
積算上昇高度、積算下降高度の場合
例:積算上昇高度

データを消去する
特定のデータを消去する
-
高度記録の確認モードにします。
-
AまたはCボタンを押して、消去するデータを選びます。
-
Dボタンを約2秒間押し続けて、[CLEAR]が点滅から点灯に変わったらすぐに指をボタンから離します。
選んだデータが消去されます。

Dボタンを5秒以上押し続けると、すべてのデータが消去されますので、ご注意ください。
すべてのデータを消去する
[ALL CLR]が点滅から点灯に変わるまで5秒以上Dボタンを押し続けると、すべてのデータが消去されます。
